วิสัยทัศน์เทศบาลตำบลสันทรายหลวง "สันทรายสังคมดี สิ่งแวดล้อมดี คุณภาพชีวิตดี ประชาชนมีส่วนร่วม"
หน้าแรก
ข่าวกิจกรรม
ข่าวประชาสัมพันธ์
ข่าวจัดซื้อจัดจ้าง
ถาม-ตอบ (Q&A)
สถานที่สำคัญในตำบล
ติดต่อเทศบาล
ข้อมูลพื้นฐาน
ประวัติความเป็นมา
วิสัยทัศน์การพัฒนา
อำนาจหน้าที่ของเทศบาล
อัตรากำลังของเทศบาล
เทศบัญญัติและข้อกฎหมายต่างๆ
นโยบายคุ้มครองข้อมูลส่วนบุคคล
ประมวลจริยธรรมของเจ้าหน้าที่ของรัฐ
โครงสร้างการบริหารงาน
คณะผู้บริหาร
สมาชิกสภาเทศบาล
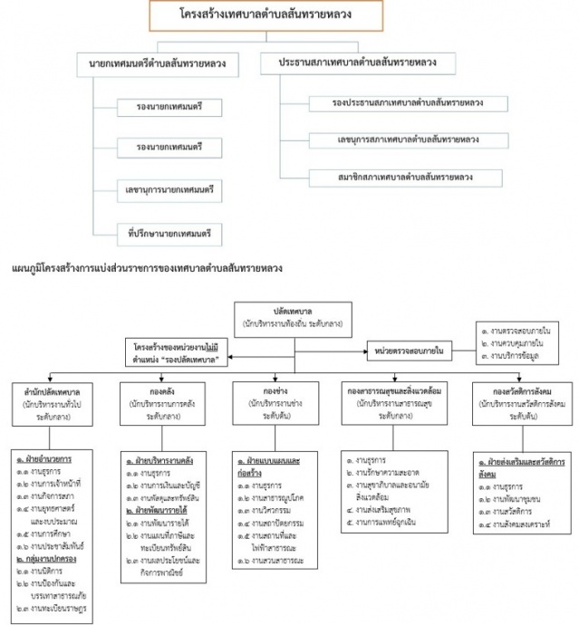
โครงสร้างส่วนเทศบาล
โครงสร้างส่วนราชการ
หัวหน้าส่วนราชการ
สำนักปลัดเทศบาล
กองคลัง
กองช่าง
กองสาธารณสุขและสิ่งแวดล้อม
กองสวัสดิการและสังคม
หน่วยตรวจสอบภายใน
ยุทธศาสตร์การพัฒนาเทศบาล
แผนพัฒนาท้องถิ่น
แผนพัฒนาท้องถิ่นเทศบาลตำบลสันทรายหลวง
การติดตามและประเมินผลแผนพัฒนา
คำสั่งคณะจัดทำแผนพัฒนาและติดตามผลแผนพัฒนาท้องถิ่น
แผนบริหารจัดการความเสี่ยง
เทศบัญญัติงบประมาณรายจ่ายประจำปี
การดำเนินงานของเทศบาล
แผนการดำเนินงานประจำปี
รายงานการกำกับติดตามการดำเนินงานประจำปีรอบ 6 เดือน
คู่มือการให้บริการ และคู่มือการปฏิบัติงาน
คู่มือการให้บริการหรือแนวทางการปฏิบัติที่ผู้รับบริการ
คู่มือการปฏิบัติงาน
แผนการใช้จ่ายงบประมาณ
แผนการใช้จ่ายงบประมาณรายจ่ายประจำปี
รายงานการกำกับติดตามการใช้จ่ายงบประมาณ รอบ 6 เดือน
รายงานผลการใช้จ่ายงบประมาณประจำปี
การจัดการบริหารความเสี่ยง
การจัดซื้อจัดจ้างและการจัดหาพัสดุ
แผนการจัดซื้อจัดจ้าง/จัดหาพัสดุ
สรุปผลการจัดซื้อจัดจ้าง/จัดหาพัสดุ
รายงานผลการจัดซื้อจัดจ้าง/จัดหาพัสดุ
ฝ่ายพัฒนารายได้
แผนการจัดเก็บภาษีและพัฒนารายได้
การบริหารและพัฒนาทรัพยากรบุคคล
ข้อมูลสถิติเรื่องร้องเรียนการทุจริต
สถิติการให้บริการประชาชนตามภารกิจของหน่วยงาน
แผนอัตรากำลัง 3 ปี
การออกคำสั่งด้านการบริหารงานบุคคล
นโยบายการบริหารทรัพยากรบุคคล
การดำเนินการตามนโยบายการบริหารงานบุคคล
หลักเกณฑ์การบริหารและพัฒนาทรัพยากรบุคคล
รายงานผลการบริหารและพัฒนาทรัพยากรบุคคลประจำปี
การส่งเสริมความโปร่งใส
แนวปฏิบัติการจัดการเรื่องร้องเรียนการทุจริต
ช่องทางการแจ้งเรื่องร้องเรียนการทุจริต
ผลการประเมินความพึงพอใจ ของประชาชนที่มีต่อผลการดำเนินงาน
การส่งเสริมการมีส่วนร่วม
การเปิดโอกาสให้ผู้มีส่วนได้ส่วนเสียภายนอกมีส่วนร่วมในการดำเนินงาน
การดำเนินการป้องกันการทุจริต
นโยบาย No Gift Policy
การมีส่วนร่วมของผู้บริหาร
การประเมินความเสี่ยงการทุจริตประจำปี
การดำเนินการเพื่อจัดการความเสี่ยงการทุจริต
การเสริมสร้างวัฒนธรรมองค์กร
แผนปฏิบัติการป้องกันการทุจริตเทศบาลตำบลสันทรายหลวง
แผนการเสริมสร้างมาตรฐาน วินัยคุณธรรม จริยธรรมและป้องกันการทุจริต
รายงานผลการดำเนินงานตามแผนปฏิบัติการป้องกันการทุจริต รอบ 6 เดือน
รายงานผลการดำเนินงานตามแผนปฏิบัติการป้องกันการทุจริต รอบ 12 เดือน
มาตรการส่งเสริมคุณธรรมและความโปร่งใส
ผลการดำเนินการตามมาตรการเพื่อส่งเสริมคุณธรรมฯ
กิจการสภาเทศบาลตำบลสันทรายหลวง
เรียกประชุมสภาเทศบาล
กำหนดสมัยประชุม
นัดประชุมสภาเทศบาล
รายงานการประชุมสภาเทศบาล
มาตราการภายในเพื่อส่งเสริมความโปร่งใสและป้องกันการทุจริต
แจ้งปัญหาภัยพิบัติ
แนวทางการจัดทำแผนการดำเนินงานการป้องกัน และแก้ไขปัญหาฝุ่นละอองขนาดเล็ก PM2.5
แบบรายงานผลการประเมินมาตารฐานขั้นต่ำ
ITA เทศบาลตำบลสันทรายหลวง 2564
โครงการอนุรักษ์พันธุกรรมพืชอันเนื่องมาจากพระราชดำร
ระบบสารสนเทศฐานข้อมูลเปิดภาครัฐ (Open Data)
กฏหมายกระจายอำนาจของ อปท
ดาวน์โหลดเอกสาร
ข้อมูลสถิติการให้บริการ
ขณะนี้
10 คน
สถิติวันนี้
598 คน
สถิติเดือนนี้
18129 คน
สถิติปีนี้
141473 คน
สถิติทั้งหมด
1230647 คน
ตั้งแต่วันที่ 12 ตุลาคม 2559
โครงสร้างส่วนราชการ
โครงสร้างส่วนราชการ
ประกาศกำหนดโครงสร้างอำนาจหน้าที่
(109 KB.)